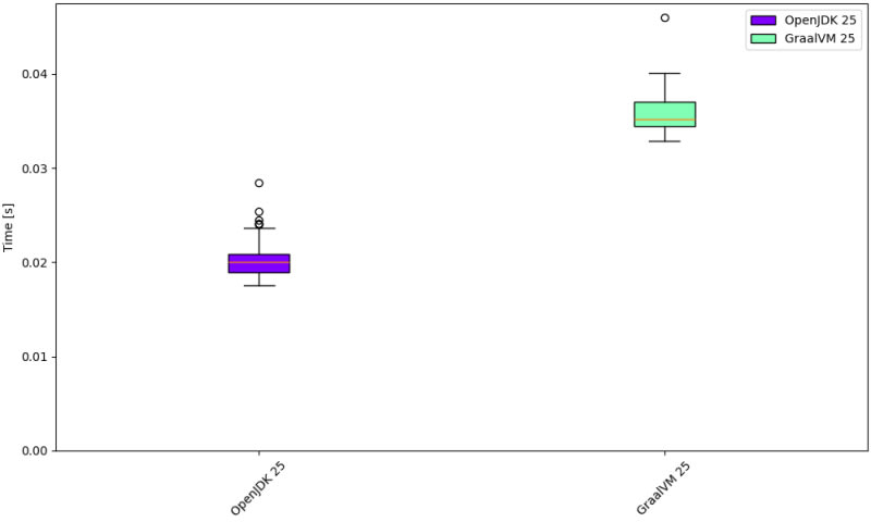
A short benchmark comparison showing that OpenJDK (SapMachine 25) runs `java -version` nearly twice as fast as GraalVM 25 CE. The author acknowledges this is a trivial microbenchmark with little real-world relevance. The root cause, as pointed out by community members, is that GraalVM initializes the JVM Compiler Interface (JVMCI) at startup, and the gap becomes negligible when OpenJDK is run with JVMCI enabled. A bonus finding: OpenJDK 25 is 18% faster than OpenJDK 17/21 and 84% faster than OpenJDK 11 on the same metric.

2m read timeFrom mostlynerdless.de
Post cover image
Table of contents
AuthorRelated Posts:

Sort: