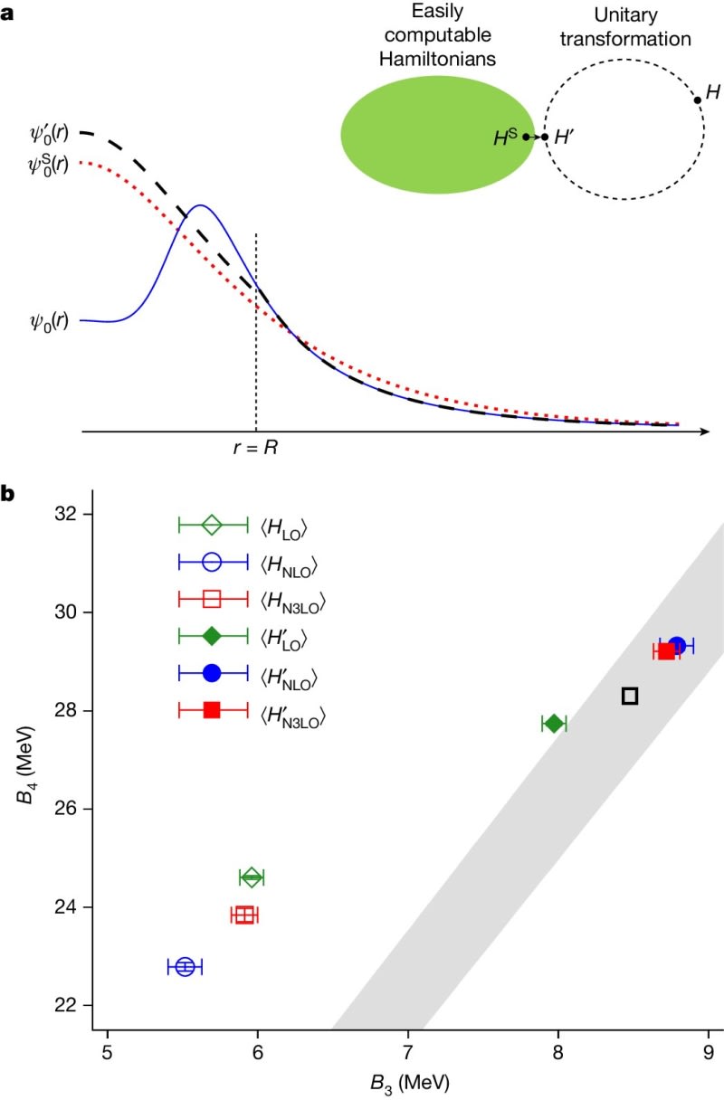
A new method of wavefunction matching has been developed to solve quantum many-body problems by overcoming the sign problem in quantum Monte Carlo simulations. The method has been successfully applied to calculate the masses and radii of atomic nuclei and shows promise for a wide range of ab initio approaches.

4m read time From phys.org
Post cover image

Sort: